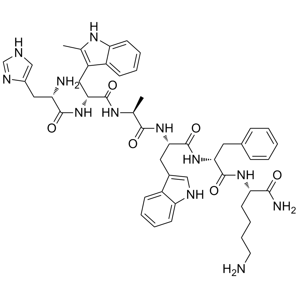
hexarelin dosage, hexarelin reviews, hexarelin side effects Previous item Hexarelin Next item Michael Phelps Started 749 hexarelin dosage, hexarelin reviews, hexarelin side effects